Правила колеровки на Лакокрасочном заводе Озон
ПРАВИЛА
оценки точности получения цвета при колеровке (05.12.2022)
Для того, чтобы максимально снизить субъективные факторы при оценке соответствия цвета каталогу или образцу, применяется инструментальное оборудование (спектрофотометр или колориметр). Наиболее доступный и простой прибор – колориметр NCS Colourpin (совместно с приложением для смартфона). Он изображен на фото:
	
	
	
	
Измерение производится трехмерном пространстве CIE Lab -по цветовым координатам L, a и b:
	
	
L – координата, определяющая яркость цвета;
a – координата, определяющая цвет в шкале от зеленого (-) к красному (+);
b – координата, определяющая цвет в шкале от синего (-) к желтому (+).
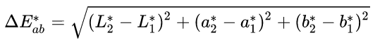
Для оценки отличий цветов a и b друг от друга применяется метод вычисления ΔЕ по формула цветового отличия (1974г):
	
Оценка точности получения цвета делится на следующие категории:
| ΔЕ ≤ 1 | 1< ΔЕ ≤2 | 2< ΔЕ ≤3 | 3< ΔЕ ≤4 | 4< ΔЕ | 
| Идеальное совпадение | Высокая степень совпадения | Похожий цвет | Близкий по цвету | Другой цвет | 

Для лучшего попадания в цвет при выборе цвета мы рекомендуем нашим партнерам и покупателям использовать каталоги Tikkurila Symphony, Tikkurila Facade и NCS.
Стандарт компании при подборе цвета по каталогам и образцам:
| Варианты работ и материалов | Машинная колеровка | Промышленная колеровка | 
| Повтор колеровки (по ранее сделанному образцу) | ΔЕ ≤1 | ΔЕ ≤2 | 
| Колеровка по каталогу (основной ассортимент) | ΔЕ ≤2 | ΔЕ ≤3 | 
| Колеровка по каталогу материалов: · Для интерьерных красок ВД-АК 211, ВД-АК 214 и ВД-АК 230; · Для декоративных материалов (текстурных красок и штукатурок); · Для пигментированных и адгезионных грунтовок | ΔЕ ≤3 | ΔЕ ≤3 | 
Важное уточнение: для насыщенных цветов (колеруются по базе С) необходимо сверяться с эталоном (по каталогу или образцу) схожей степени блеска. В противном случае, измерение даст некорректный результат, значительно отличающийся от допустимых отклонений.

